Analysis of Pressure Drop Characteristics during Restart of Heavy Oil Water Ring Transportation Pipelines(Part 2)
2. Results and Discussion
2.1 Restart Process
Using the experimental system constructed in this study, obvious heavy oil-water annular flow patterns were observed in the pipeline under various experimental conditions, providing necessary conditions for the shutdown and restart experiments of heavy oil-water annular transportation pipelines. The typical flow pattern characteristics of heavy oil (LD1) water two-phase flow at different apparent flow rates (UOS=0.74m/s, Uws=0.28m/s, 0.44m/s, 0.65m/s) are shown in Figure 3. As shown in Figure 3, a relatively stable eccentric annular flow pattern is formed in the pipeline between heavy oil and water, where the outer water ring with a thin upper layer and a thick lower layer wraps around the core oil phase and flows forward together.
Figure 4 shows the relationship between pressure drop and time during the shutdown and restart process of heavy oil water ring transportation pipelines. As shown in Figure 4, when restarting at a constant water flow rate, the restart process can generally be divided into two stages. The first stage is the pressure drop attenuation stage, and the pressure drop decreases rapidly from the initial peak value with increasing time, then slowly decreases, and finally drops to a constant pressure drop value. The maximum restart pressure drop (initial peak) during the restart process at a constant water flow rate is defined as the maximum restart pressure drop, abbreviated as the restart pressure drop Δpmax; The time required to reduce the pressure drop to a constant value is called the restart time tr. The second stage is the constant pressure drop stage, where the restart pressure drop does not change significantly with time or fluctuates slightly near a certain constant value. The constant pressure drop value Δpr is the steady-state pressure drop value of single-phase water flow. This is consistent with the phased characteristics of restart pressure drop over time observed by Poesio et al. and Livinus et al. in their respective shutdown restart experiments. As shown in Figure 4, under the experimental conditions of Ho=0.55, μo=2.038Pa·s, tst=1h, Ucl=0.53m/s, the restart pressure drop is 11.22 kPa, the restart time is 1290 seconds, and the constant pressure drop value is 0.42 kPa.
2.2 Characteristics and Influencing Factors of Restart Pressure Drop
2.2.1 Impact of Oil Holding Rate
Figure 5 reflects the relationship between the restart pressure drop of heavy oil water ring transportation pipeline and the change of oil holding rate. As shown in Figure 5, the restart pressure drop Δpmax increases monotonically with the increase of oil holding rate Ho. The larger the oil holding rate, the greater the increase in restart pressure drop. This is because as the oil holding rate increases, on the one hand, the volume content of the oil phase increases, and the frictional resistance between oil molecules increases; On the other hand, the contact area between the oil phase and the pipe wall increases, and the frictional resistance between the oil and the pipe wall also increases. By comparing Figures 5 (a) to (d), it can be observed that the higher the viscosity of the oil, the more significant the effect of oil holdup on the restart pressure drop; The greater the constant water flow velocity, the more significant the effect of oil holdup on restart pressure drop.

2.2.2 Impact of Oil Viscosity
The variation law of restart pressure drop of heavy oil water ring transportation pipeline with oil viscosity under different oil holding rates, shutdown time, and constant water flow rate conditions is shown in Figure 6. From the graph, it can be observed that the restart pressure drop Δpmax increases with the increase of oil viscosity μo, and there is a monotonically increasing relationship between the two. But as the viscosity of the oil increases, the magnitude of the increase in restart pressure drop becomes smaller and smaller. In addition, by comparing Figures 6 (a) to (d), it can be seen that the larger the oil holdup, the more significant the effect of oil viscosity on the restart pressure drop; The greater the constant water flow velocity, the more significant the effect of oil viscosity on the restart pressure drop.

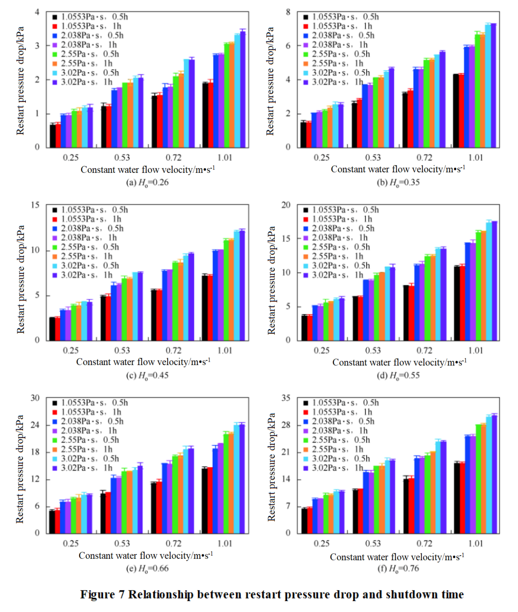
2.2.3 Impact of Shutdown Time
Figure 7 shows the relationship between the restart pressure drop of heavy oil water ring transportation pipeline and the shutdown time. As shown in Figure 7, the impact of shutdown time tst on the restart pressure drop Δpmax is relatively small, and as tst increases, Δpmax shows a slight increasing trend. This may be due to the relatively short shutdown times of 0.5h and 1h selected. In both cases, the oil-water two-phase flow is in the transition stage from annular flow to fully stratified flow, and its spatial distribution inside the pipeline is relatively different. Therefore, under certain conditions of oil holding rate, oil viscosity, and constant water flow rate, the restart pressure drop values corresponding to different shutdown times are relatively close. However, Strazza et al.'s research indicates that as the shutdown time further increases, the restart pressure drop will show a significant increasing trend. The reason is that the shutdown time is relatively short, and the water film left on the upper part of the pipeline does not have enough time to fully migrate to the lower part of the pipeline. Therefore, when the shutdown pipeline is restarted, the retained water film can still act as a lubricating layer between the oil phase and the pipe wall, thereby reducing the frictional resistance between the heavy oil and the pipe wall, and thus reducing the initial peak pressure drop during restart; When the shutdown time is long, the heavy oil-water phase has sufficient time to achieve complete stratification under the dual effects of gravity and interfacial tension. Therefore, when the shutdown pipeline restarts, the upper oil phase of the pipeline directly contacts the pipe wall, causing an increase in frictional resistance between the heavy oil and the pipe wall, which in turn leads to an initial peak increase in restart pressure drop.

2.2.4 The Influence of Constant Water Flow Velocity
The variation law of restart pressure drop of heavy oil water ring transportation pipeline with constant water flow velocity under different oil holding rates, oil viscosity, and shutdown time conditions is shown in Figure 8. From the graph, it can be seen that the variation pattern of restart pressure drop is consistent with that of oil holding rate, oil viscosity, and shutdown time. The restart pressure drop Δpmax also increases with the increase of constant water flow velocity Ucl. But as the constant water flow velocity increases, the magnitude of the increase in restart pressure drop becomes smaller and smaller. In addition, by comparing Figures 8 (a) to (d), it can be seen that the larger the oil holding rate, the greater the impact of constant water flow velocity on the restart pressure drop; The higher the viscosity of the oil, the greater the impact of constant water flow rate on the restart pressure drop. Therefore, when the heavy oil water ring transportation pipeline is shut down and restarted, the applied restart flow rate should not be too large, otherwise the required restart pressure drop will be too high; But it cannot be too small, otherwise the restart time used will be too long.
